大阳城APP下载·(Macau)股份有限公司-官方网站

中文中文
EnglishEnglish
FrançaisFrançais

产品展示

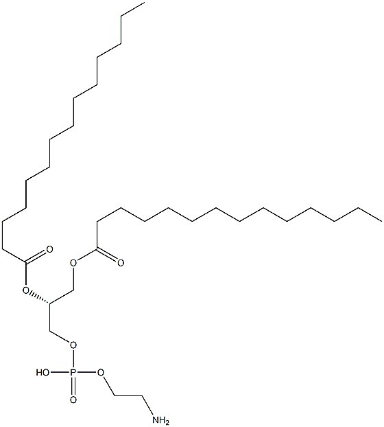
DMPE 1,2-十四酰基磷脂酰乙醇胺
 结 构 式:

998-07-2.gif

 产品名称:DMPE 1,2-十四酰基磷脂酰乙醇胺
 英文名称:1,2-Dimyristoyl-sn-glycero-3-phosphoethanolamine
 CAS 号:998-07-2
 外  观:白色粉末
 纯  度:99% TLC



相关产品

Baidu
sogou