大阳城APP下载·(Macau)股份有限公司-官方网站

中文中文
EnglishEnglish
FrançaisFrançais

产品展示

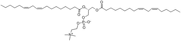
DLinPC 1,2-二亚油酰磷脂酰胆碱
 结 构 式:

998-06-1.gif

 产品名称:DLinPC  1,2-二亚油酰磷脂酰胆碱
 英文名称:1,2-DILINOLEOYL-SN-GLYCERO-3-PHOSPHOCHOLINE
 CAS 号:998-06-1
 外  观:类白色至淡黄色蜡状固体
 纯  度:98%



相关产品

Baidu
sogou