大阳城APP下载·(Macau)股份有限公司-官方网站

中文中文
EnglishEnglish
FrançaisFrançais

产品展示

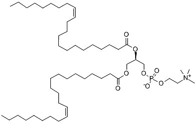
DEPC 二芥酰磷脂酰胆碱
 结 构 式:

51779-95-4.gif

 产品名称:DEPC 二芥酰磷脂酰胆碱
 英文名称:1,2-Dierucoyl-sn-glycero-3-phosphocholine
 CAS 号:51779-95-4
 外  观:白色固体
 纯  度:98% HPLC



相关产品

Baidu
sogou