


新闻动态
三甲基硅乙氧羰基(Teoc)保护基的应用
结构式:

三甲基硅乙氧羰基(Teoc)的引入机理:
Teoc保护基的引入以Teoc-Osu为例,机理如下式:

三甲基硅乙氧羰基(Teoc)的脱去机理:

三甲基硅乙氧羰基(Teoc)的应用:
近年来,硅基试剂用于保护活性功能团的使用一直在迅速发展,三甲基硅乙氧羰基(Teoc)则在有机合成和生物化学中用作氨基的保护剂使用最多。三甲基硅乙氧羰基(Teoc)同Cbz、Boc, Fmoc 和 Alloc 不同,它对酸、大部分碱,及贵金属催化等都很稳定,在它的存在下,Cbz、Boc,Fmoc 和 Alloc 等可选择性去保护,而它的脱去则通常在氟负离子中进行,如TBAF、TEAF和 HF等。另外,TFA 也可选择性去保护三甲基硅乙氧羰基。
应用一:常规氨基的保护
Teoc保护基通常使用Teoc-Cl、Teoc-NT、Teoc-OSu或Teoc-OBt,在碱的存在下同氨基化合物反应,碱可以是有机碱吡啶或三乙胺,也可使用无机碱碳酸氢钠,从而可得到Teoc保护的氨基衍生物。
Mamoru在研究氨基甲酸酯保护氨基中阐述了Teoc保护基的反应稳定性高,保护试剂不易吸湿甚至可以敞口反应,使用Teoc-NT产生的硝基三唑还可以回收利用,并且在大多数情况下,使用高纯度Teoc试剂无需繁琐的柱色谱纯化即可获得纯度较高的氨基衍生物。
实例1:Teoc-OBt /三乙胺体系,收率92%

实例2:Teoc-Cl /碳酸氢钠体系,收率87%

实例3:Teoc-Osu /三乙胺体系,收率95%

实例4:Teoc-NT/三乙胺体系,收率98%

应用二:核苷衍生物的氨基保护
由于Teoc保护基的引入比较干净易处理,因此在核苷酸保护中也常使用。例如胞苷衍生物在没有碱情况下即可引入Teoc基团,如下图:

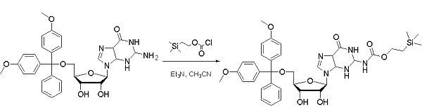
同样,腺苷衍生物14A的6-NH2在中性条件下选择性引入Teoc基团也很成功,然而鸟苷衍生物氨基的反应在没有碱的情况下则很难进行,需以三乙胺作碱、Teoc-Cl作引入剂,如下图:

虽然Teoc基团在核苷衍生物中应用已普遍,但从迄今为止已有报道中,2,2′-脱氧鸟苷衍生物的2-NH2上引入Teoc基团尚未成功。
应用三:氨基酸衍生物的氨基保护
由于氨基酸衍生物的多样性,其氨基保护也较为重要,根据不同的需求有多种保护基待选,Teoc保护基也在常选之列。
Richard关于氨基酸衍生物Teoc保护的实验表:

L-丝氨酸以三乙胺作碱、Teoc-Cl作引入剂,如下图:

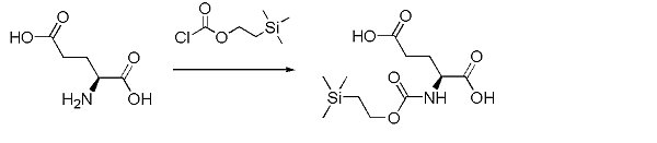
L-谷氨酸的Teoc保护,如下:

从以上报道可以看出,Teoc保护基在氨基酸的氨基保护中适用性也较强。
实验操作:
实例1上保护:

把原料(3.0g,12.4mmol,1.0)加到二氯甲烷(50mL)中,再加入三乙胺(3.25g,32.2mmol,2.6),然后分批加入Teoc-OBt(3.52g,13.63mmol,1.1),控制温度在20-25℃反应至原料消耗完全。向反应中加入20mL饱和硫酸氢钾溶液,分出有机相再用20mL饱和食盐水洗,有机相用无水硫酸镁干燥、过滤、浓缩,拿到4.4**品,收率92%。
实例2脱保护:

把原料(5.5g,18.68mmol,1.0)加到四氢呋喃(70mL)中,分批加入四丁基氟化铵(7.33g,28.02mmol,1.5),室温反应至原料消耗完全。反应液浓缩去除四氢呋喃,粗品柱层析拿到2.38**品,收率85%。
参考文献:
[1]Boger, Dale L; Kim, Seng Heon et al., J. Am. Chem. Soc., 2001, 123(9), 1862-1871;
[2]Shute, Richard; Rich, Daniel H; Synthesis, 1987, 4, 346-349
[3]Mamoru Shimizu; Mikiko Sodeoka.,ORGANIC LETTERS.,2007 ,Vol. 9, No. 25,5231-5234
[4]Seng Heon et al., J. Am. Chem. Soc., 2000, 122(30), 7416-7417
[5]Gugiu, Bogdan G; Salomon, Robert G; Org. Lett., 2003, 5(16), 2797-2800
[6]Tius, Marcus A; Thurkauf, Andrew; Tetrahedron Lett., 1986, 27(38), 4541-4544
