


新闻动态
缩合试剂的发展日新月异,从传统试剂到层出不穷的新颖设计,极大推动了多肽合成技术的革新。新型试剂显著提升了合成效率与纯度,使得肽键的构建更加高效、精准,同时也为生命科学和新药研发提供了重要工具。
3H-[1,2,3]三氮唑[4,5-b]吡啶-3-基 5-氯噻吩-2-磺酸酯(简称CTSOAt,结构见下图)是一种新型多功能缩合试剂,可以用于促进C-O,C-N,C-C键的形成,能够回收循环使用。在稳定性方面,该试剂可在0℃条件下稳定保存半年,另外,经试验证明,CTSOAt分子中的关键连接为S-O键相连,而非S-N键,而且前者的键能更低,整体结构更加稳定。此外,与存在热稳定隐患的HOAt相比,CTSOAt经DSC和TGA测试证明具有很好的热稳定性。

值得一提的是,经长期验证,基于HOAt结构的缩合试剂通常具有较好的抑制消旋能力。CTSOAt中不仅保留了HOAt的结构片段,其噻吩结构也会与羧酸形成有利的相互作用,进一步促进构型的保持。
CTSOAt作为一种新型多功能的高效缩合试剂,不仅可促进酰胺化和酯化反应,还可以参与Suzuki反应,实现羧酸到酮类化合物的转化。
1. 酰胺和多肽
酰胺合成
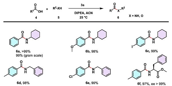
Mandal Bhubaneswar团队系统测试了CTSOAt在酰胺合成中的适用范围,包括芳香酸(吸电子和给电子基)、(长链)脂肪酸,以及芳香胺、脂肪胺和大位阻胺等胺类化合物。实验结果显示,目标化合物的收率普遍在90%以上,即便对于含有碱敏感基团Fmoc保护的底物,CTSOAt仍能高效催化反应,顺利得到相应的酰胺。

多肽合成
在同样条件下,CTSOAt被成功用于合成含有各种保护基和具有空间位阻的二肽和三肽,反应收率高,在立体构性保持方面表现优异,充分体现了其在复杂肽段组装中的适用性。

固相合成
在固相合成中,采用绿色溶剂10%DMSO/乙酸乙酯,于Rink amide MBHA树脂上采用Fmoc/t-Bu策略合成多肽序列,CTSOAt在所有测试序列中均得到了满意收率。其中在合成淀粉样蛋白-β (Aβ) 的核心片段类似物KLVFF时,收率56%,而HATU在相同条件下收率为27%。

药物修饰
CTSOAt还可用于多种药物分子的酰胺化结构修饰,如吉非罗齐,吲哚美辛等,这些案例进一步验证了其在大位阻,和低反应活性胺中的实用价值。
消旋化实验
为深入评估CTSOAt的抑制消旋能力,Mandal Bhubaneswar团队横向对比了现阶段比较主流的缩合试剂,如DEPBT、HBTU等,结果表明,CTSOAt可以在短时间内以95%的收率得到目标化合物且无消旋产物产生。

2. 酯的合成
CTSOAt同样适用于酯类化合物的合成,相较于胺类化合物,亲核性较弱的醇合成酯的收率普遍要低于酰胺,但仍能取得80%以上的收率,且产物构型保持优异。

CTSOAt介导的该类缩合反应机理如下:

羧酸在碱的作用下进攻CTSOAt,形成混酐中间体,然后HOAt片段中的氧负离子进攻混酐,形成活化的OAt酯,最后醇/胺进攻得到相应的酯和酰胺。在反应过程中会产生5-氯-噻吩-2-磺酸和HOAt副产物,两者经氯化亚砜处理后,能以50%的回收率得到CTSOAt。
3. 酮的合成
除常规缩合反应外,CTSOAt还可以参与Suzuki偶联反应,实现羧酸到酮类化合物的转化。不论带有吸电子基、给电子基还是大位阻的羧酸和硼酸,均能以中等偏上的收率得到目标化合物。

具体反应机理如下:在Pd催化下,经历氧化加成、转金属和还原消除等过程,实现羧酸至酮的转化。

CTSOAt是一种新型的、可回收的缩合试剂,具有优异的官能团耐受性和位阻耐受性。该试剂不仅能够高效促进酰胺、酯的合成,并显著抑制消旋化现象的发生,还在药物分子的修饰及固相合成中也展现出广阔的应用前景。不仅如此,该试剂还能够参与Suzuki偶联反应,实现羧酸到酮类化合物的转化。总的来说,CTSOAt的开发,为合成化学及相关领域提供了新的有力工具。
苏州澳门大阳城APP下载入口股份有限公司(股票代码:301393.SZ),成立于2003年,总部位于苏州市高新区,是一家为全球医药研发及生产企业提供特色原料的国家高新技术企业。产品主要应用于多肽、核苷酸和医药合成等领域,产品范围涵盖特色酰胺键构成用缩合剂、保护剂、链接剂、抗体偶联药物用蛋白质交联剂、分子砌块、脂质体、磷试剂等种类。目前已累计研发生产各类产品达1500多种。
经过22年的不懈努力和积累,澳门大阳城APP下载入口在全球多肽合成试剂领域持续深耕,现已发展成为具有广泛定制产品覆盖能力和显著规模化生产优势的领先企业,可以满足各类客户的特定需求。我们诚挚邀请对该产品感兴趣的客户与我们联系,以便进一步了解产品详情,并探讨合作机会。
参考文献:
[1] Roy, S.; Rahaman, S. R.; Sarkar, A., Mandal, B. Sulfonate Derivative of HOAt (CTSOAt) as a Coupling Reagent for the Construction of C−N, C−O, and C−C Bonds[J]. J. Org. Chem. 2025, 90, 34, 12061–12079.
