

新闻动态
4-(叔丁基二甲基甲硅烷基)氧代-1-丁醇为无色至淡黄色油状物,CAS号为87184-99-4。该化合物是由对1,4-丁二醇进行TBS单保护得到,TBS作为羟基保护基团,在碱性条件下稳定。由此特性,4-(叔丁基二甲基甲硅烷基)氧代-1-丁醇可以在碱性条件下对另一端羟基进行修饰。将4-(叔丁基二甲基甲硅烷基)氧代-1-丁醇的羟基脱氢生成醛可以作为合成抗血凝药贝前列素钠片的中间体,氧化成酸则可用于合成癌细胞干抑制剂(Napabucasin)衍生物,也可直接用于ROCK激酶抑制剂、吲哚胺2,3-双加氧酶(IDO)的酶活性调节剂的合成。
01
贝前列素钠的合成
以4-(叔丁基二甲基甲硅烷基)氧代-1-丁醇为原料,可以制成贝前列素钠。贝前列素(其合成路线见图一)是一种前列环素的衍生物,其在前列素的次级五元环上并联一个苯环,增加了分子的稳定性。贝前列素钠是抗血凝药贝前列素的钠盐形式,适用于肺动脉高压、慢性动脉闭塞性疾病引起的间歇性跛行、疼痛和冷感等症状。

图一 贝前列素的合成
将4-(叔丁基二甲基甲硅烷基)氧代-1-丁醇未被保护的羟基氧化成酸,可以用于合成癌细胞干抑制剂Napabucasin的衍生物(其合成路线见图二),Napabucasin是一种口服的萘醌类小分子,靶向信号转导和转录活化因子STAT3通路,阻止肿瘤干细胞活性,可用于治疗癌症干细胞,具有在多种癌症类型抑制癌细胞转移和防止癌症复发的潜力。但Napabucasin溶解度差限制了它的应用,Napabucasin衍生物一定程度上改善了溶解度的问题,使Napabucasin可以更好地被应用于癌症干细胞的治疗中。

图二 Napabucasin的衍生物的合成路线
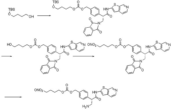
(S)-4-(3-氨基-1-氧代-1-(噻吩并[2,3-c]吡啶-2-基氨基)丙-2-基)苄基(4-(硝基氧基)丁基)碳酸酯是一种ROCK激酶抑制剂的硝基氧衍生物。ROCK激酶抑制剂可用于治疗青光眼和视网膜疾病,而NO在调节眼睛内压中又具有重要的生理作用,ROCK激酶抑制剂的硝基氧衍生物同时具有抑制作用且是NO的供体,能够更好地降低眼内压,治疗视网膜疾病。其合成路线(见图三)如下:

图三 一种ROCK激酶抑制剂的硝基氧衍生物的合成路线
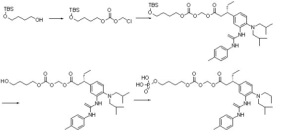
吲哚胺2,3-双加氧酶IDO在免疫调节中起着重要作用,通过调节IDO可以调控免疫功能,对许多疾病、紊乱和状况产生治疗作用。IDO与肿瘤之间存在病理生理联系,免疫稳态的破坏与肿瘤的生长和进展密切相关。肿瘤微环境中IDO的产生似乎有助于肿瘤的生长和转移。目前IDO小分子抑制剂已被开发用于治疗或预防IDO相关疾病,如(S)-((4-(磷酸基)丁基)羰基)氧)甲基3-(4-(二异丁基氨基)-3-(3-(叔丁基)脲基)苯)戊酸酯是4-(叔丁基二甲基甲硅烷基)氧代-1-丁醇为起始原料的。其合成路线(见图四)如下:

图四 一种IDO吲哚胺2,3-双加氧酶的合成
4-(叔丁基二甲基甲硅烷基)氧代-1-丁醇还可被制备为醚、酮等化合物,可以用于各类成品药剂及药物中间体的合成,具有很好的应用市场,而其的合成具有一定的难点,在合成过程中会生成TBS保护基双保护的副产物,两者沸点接近,难以通过蒸馏纯化,同时两者在常见溶剂中溶解度较好,难以分离。澳门大阳城APP下载入口已经掌握4-(叔丁基二甲基甲硅烷基)氧代-1-丁醇合成以及分离提纯难题,可进一步实现4-(叔丁基二甲基甲硅烷基)氧代-1-丁醇的量产化,为市场提供更为优质的药物合成中间体。

